Algunas propiedades de los números pentagonales
En la anterior entrada se presentaron los números pentagonales desde varios puntos de vista. En esta otra repasaremos algunas propiedades curiosas.
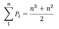
El
promedio de los primeros números pentagonales es un número triangular
Antes de sumar los números pentagonales hay que recordar estas dos igualdades:
Con estas dos fórmulas podemos sumar pentagonales:
Con unas pocas simplificaciones llegamos a
De esta igualdad sacamos dos consecuencias:
La expresión de la suma de los primeros números
pentagonales coincide con la fórmula de los piramidales pentagonales. Esto es
consecuencia de su definición. Puedes comprobarlo en mi publicación “Números piramidales”
(http://www.hojamat.es/publicaciones/piramidal.pdf)
Tal como hemos afirmado, si dividimos la expresión obtenida entre n obtendremos el promedio de los primeros pentagonales y, en efecto, resulta un número triangular:
Por tanto, el promedio es triangular.
Según Jon Perry, podemos interpretar el pentagonal de
orden n como la suma de n números enteros consecutivos que
comienzan en n. Es decir:
Por ejemplo, P4=4+5+6+7=22, P5=5+6+7+8+9=35.
Si recordamos que los números triangulares, de fórmula n(n+1)/2,
son suma de números consecutivos, tendríamos, para P5:
P5=5+6+7+8+9=9(9+1)/2-4*(4+1)/2=45-10=35.
En general, según esta propiedad:
Pn =T(2n-1)-T(n-1)=(2n-1)*2n/2-(n-1)*n/2=(4n2-2n-n2+n)/2=(3n2-n)/2=n(3n-1)/2
Por tanto, coincide con la fórmula de los números pentagonales.
Hemos comprobado de paso que todo número pentagonal es
diferencia entre dos triangulares.
Números pentagonales como suma de una progresión aritmética:
También Jon Perry interpreta un número pentagonal como
una suma parcial en la progresión aritmética de diferencia 3: 1, 4, 7, 10, 13,…
Antes de demostrarlo algebraicamente, podemos visualizar
esta propiedad fácilmente. Basta considerar las líneas poligonales que hemos
añadido al esquema gráfico de estos números:
Aunque las líneas están trazadas a mano alzada, se
perciben bien los sumandos 1, 4, 7, 10 y 13.
Si recordamos la fórmula de la suma de una progresión
aritmética, podremos justificarlo algebraicamente:
Esta propiedad nos permite calcular cualquier número pentagonal por recursión. Basta darse cuenta de que Pn+1=Pn+3n+1.
Así, P1=1, P2=1+3+1=5, P3=5+3*2+1=12,
P4=12+3*3+1=22,…
Un
número pentagonal es suma de un combinatorio y un cuadrado
En efecto:
Un
número pentagonal es un tercio de otro triangular
Es fácil demostrar que si el orden del pentagonal es k,
el del triangular es 3k-1:
Pentagonales
multipoligonales
Los números pentagonales pueden ser también cuadrados,
triangulares o hexagonales. Los cuadrados los puedes consultar en
0, 1, 9801, 94109401, 903638458801, 8676736387298001,
83314021887196947001, 799981229484128697805801, 7681419682192581869134354401,
73756990988431941623299373152801
Disponemos en este blog de la función doblepolig, que nos indica si un número
pertenece a dos tipos concretos de número poligonal. Puedes consultarla en
https://hojaynumeros.blogspot.com/search?q=multipoligonal
Con esta función es trivial reproducir la lista de más
arriba,ya que basta exigir doblepolig(5,4).El
problema radica en que Excel no puede llegar a estos números enormes, pero sí
detecta el 9801:
9801 # 4, 99 # 5,
81 # 180, 11 # 274, 9 # 655,
6 # 3268, 3 # 9801, 2
Se observa que 9801 es cuadrado y pentagonal, además de
poligonal de 180, 274, 655, 3268 y 9801 lados.
Con esta función podemos encontrar los primeros
pentagonales que son poligonales de otros tipos. Incluimos algunos (no tenemos
en cuenta el 1):
Pentagonal y triangular: 210 y40755
Pentagonal y hexagonal: 40755
Pentagonal y heptagonal: 4347
Y así podríamos seguir.
Teorema
de Fermat para pentagonales
Fermat afirmó, y se demostró posteriormente, que todo
número natural es suma de a lo más n números poligonales. En el caso de los
pentagonales se deduce que todo natural es suma de como máximo cinco
pentagonales.
La comprobación práctica de esta propiedad puede resultar
algo complicada de seguir. No es difícil conseguirlo con nuestro programa de
Excel y Calc Cartesius
(http://www.hojamat.es/sindecimales/combinatoria/herramientas/herrcomb.htm#cartesius)
En la captura de pantalla siguiente se presentan todas
posibilidades de descomposición en pentagonales del número 121. Observamos que
puede obtenerse con dos, tres, cuatro o cinco sumandos pentaonales. El papel
del cero e importante. Sin él, sólo obtendríamos sumas de cinco sumandos
pentagonales.
El planteo adecuado para conseguir esto es similar al siguiente:
xtotal=5
xt=1..10
xt=suc((n-1)*(3*(n-1)-1)/2)
suma=121
creciente
Explicamos línea por línea:
xtotal=5:
Indica
que el número de sumandos es 5
xt=1..10:
Este
es el rango de búsqueda de los índices de los pentagonales que se van a sumar.
Es deseable que abarque hasta el índice del número que se va a probar o algo
más. En nuestro caso, para 121 está bien un rango de 10.
xt=suc((n-1)*(3*(n-1)-1)/2):
Esta es la instrucción fundamental. Indica que se construya el pentagonal de
índice n-1, para que así contemos con el cero como sumando
suma=121:
Escribe el total que deben dar los sumandos. En este caso, 121.
Creciente: Se
incluye para eliminar casos repetidos.
Con esto finaliza nuestro repaso de los números pentagonales. Podíamos pasar a los generalizados, pero no entra dentro de los objetivos de este blog.










No hay comentarios:
Publicar un comentario